-2025- 10/19

焚题库

来源

题库

APP

客服

李某向银行申请了总额为80万元.年利率5.
单选题 李某向银行申请了总额为80万元.年利率5. 4%.期限10年.按月等额还本付息的住房抵押贷款。李某的月还款额是( )元。

A.6697 

B.7027 

C.8643 

D.10267 

正确答案: C

登录查看解析 进入题库练习

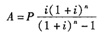
答案解析: 本题考查个人住房贷款的有关计算。等额本息还款方式的月还款额等于以贷款金额为现值计算的年金,计算公式为: 。本题中,i=5.4%÷12=0.0045,n=10×12=120,则A= 


你可能感兴趣的试题

  • 房地产金融的特点有( )。
    查看试题
  • 房地产信托的构成要素主要包括( )。
    查看试题
  • 以下关于展期和缩期的表述,正确的有( )。
    查看试题
  • 采用等额本息还款法时,在贷款后期每月的还款额中( )。
    查看试题
  • 下列房地产融资活动中,属于直接融资的有( )。
    查看试题

在线刷题

题库APP

题库小程序