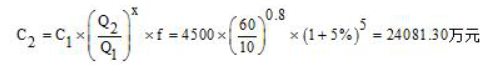
2004年已建成年产10万吨的某钢厂,其投资
你可能感兴趣的试题
- 关于工程总承包项目质量保证金的预留和返还,下列说法正确的有()。
查看试题 - 根据现行财务制度和企业会计准则,下列建设项目竣工财务决算涉及的费用或资源中,应计入新增固定资产价值的有()。
查看试题 - 某分部分项工程所需的商品混凝土原定由承包人提供,发包人征得承包人同意后变更为由发包人提供,关于此事件引起的合同价款调整。下列说法正确的有()。
查看试题 - 关于工程预付款的支付和扣回,下列说法正确的有()。
查看试题 - 因不可抗力解除建设工程施工合同的,发包人应向承包人结算和支付的费用有()。
查看试题 - 编制分部分项工程项目清单中发包人提供材料的清单项目的投标报价时,下列各项费用应予以考虑的有()。
查看试题
当前位置: