焚题库
成人高考专升本
切换考试
做题记录
我的错题
我的收藏
题库笔记
我的题库
试题答疑
试题纠错
高等数学(一)
切换
会员包含
全部题量
2668题
临考密卷
2套
模拟试卷
25套
试题答疑
不限次数
有效期
12个月
更多特权
¥128.00
立即开通
当前位置:
首页
>
成人高考专升本
>
试卷列表
>
2026年成人高考专升本《高等数学一》模拟试卷(三)
APP
做题
手机在线做题
2026年成人高考专升本《高等数学一》模拟试卷(三)
年份:2026年
类型:模拟试题
总分:150.00分
时长:150分钟
题量:28
做题人数:16人
练习模式
考试模式
题型介绍
一、选择题
((1~10小题。每小题4分,共40分.在每小题给出的四个选项中。只有一项是符合题目要求的)
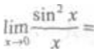
()。
A.2
B.1
C.0
D.-1
【正确答案-参考解析】:参加考试可见
二、填空题
((11~20小题,每小题4分,共40分)
设e
x
-e
y
=siny,
。
【正确答案-参考解析】:参加考试可见
三、简答题
((21~28题,共70分.解答应写出推理、演算步骤)
【正确答案-参考解析】:参加考试可见
切换科目
高等数学(一)
切换考试
已购买考试
(0)
建筑工程
财会经济
职业资格
医学考试
外语考试
学历考试
一级建造师
二级建造师
安全工程师
监理工程师
消防工程师
一级造价工程师
二级造价工程师
消防设施操作员
房地产经纪人
房地产经纪人协理
土建中级职称
咨询工程师
公路水运试验检测师
安全员
材料员
质量员
施工员
资料员
初级安全工程师
初级会计师
中级会计师
注册会计师
初级经济师
中级经济师
高级经济师
银行从业
出版专业资格考试
新闻记者
社会工作者
湖南计算机水平考试
教师资格证
演出经纪人资格证
健康管理师
人力资源管理师
家庭教育指导师
文职
心理咨询师
公共营养师
育婴师
执业药师
执业医师
医学高级职称(副高)
医学高级职称(正高)
主治医师
医学初级职称
翻译资格
成人高考
自考
考研
统招专升本