2026年教师资格证《初中数学》强化试卷(一)
- 年份:2026年
- 类型:模拟试题
- 总分:150.00分
- 时长:120分钟
- 题量:17
- 做题人数:0人
切换考试
的间断点为( )。A.0
B.1
C.
D.
【正确答案-参考解析】:参加考试可见
设F(x)=f(x)g(x),其中函数f(x),g(x)在(-∞,+∞)内满足以下条件:
f′(x)=g(x),g′(x)=f(x),且f(0)=0,f(x)+g(x)=2e
。
(1)求F(x)所满足的一阶微分方程;
(2)求出F(x)的表达式。
【正确答案-参考解析】:参加考试可见
。【正确答案-参考解析】:参加考试可见
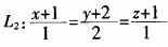
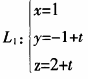
及直线
都平行且经过坐标原点的平面方程。【正确答案-参考解析】:参加考试可见
,证明不等式:
当且仅当a=b=c时取等号。【正确答案-参考解析】:参加考试可见
,求x
的系数。【正确答案-参考解析】:参加考试可见
已购买考试(0)