2026年执业药师《药学专业知识(一)》强化试卷(一)
- 年份:2026年
- 类型:强化试卷
- 总分:100.00分
- 时长:90分钟
- 题量:100
- 做题人数:0人
切换考试

手机在线做题

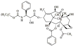
)是从南美洲古柯中得到的麻醉活性成分,经结构简化,保留苯甲酸酯药效团,得到局部麻醉药普鲁卡因。根据天然物结构改造思路推测普鲁卡因的化学结构式应为()。 A.
B.
C.
D.
E.
【正确答案-参考解析】:参加考试可见
A.北柴胡 2500g
B.细辛 250g
C.氯化钠 8g
D.吐温80 40ml
E.注射用水加至1000ml
【正确答案-参考解析】:参加考试可见
【正确答案-参考解析】:参加考试可见
A.感染
B.糖尿病
C.强心苷中毒
D.过快过量的输液
E.使用负性肌力药物
【正确答案-参考解析】:参加考试可见
已购买考试(0)