-2026- 04/16

焚题库

来源

题库

APP

客服

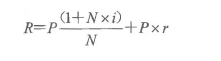
企业拟向租赁公司承租一台施工机械,机械价格为
单选题 企业拟向租赁公司承租一台施工机械,机械价格为100万元,租期4年,每年年末支付租金,折现率为8%,附加率为3%,按照附加率法计算,该企业每年应支付的租金为()万元。

A.36

B.32

C.33

D.44

正确答案: A

登录查看解析 进入题库练习

答案解析: 本题目考核的是用附加率法计算租金的过程,作为一个每年必考的计算题,没有什么难度,掌握租金的本质或者教材的公式均可以计算出答案。

你可能感兴趣的试题

  • 人工智能包含四个核心要素,分别是()。
    查看试题
  • 下列关于人工智能对工程计价的影响中,说法正确的是()。
    查看试题
  • BIM在工程计价的应用中面临的主要挑战有()。
    查看试题
  • 根据《建筑信息模型存储标准》,BIM应由()四个概念层组成数据模式架构。
    查看试题
  • 施工图预算BIM应用的典型流程为:①开始②创建施工图预算模型③确定工程量清单项目④计算工程量⑤单项计价⑥总价计算⑦结束,下列排序中正确的是()。
    查看试题
  • BIM已经从最初的二维绘图工具发展为多维信息集成系统,其中5DBIM是在4DBIM基础上与()进行整合。
    查看试题

在线刷题

题库APP

题库小程序