-2026- 02/28

焚题库

来源

题库

APP

客服

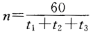
在间歇式设备生产率计算公式:
单选题 在间歇式设备生产率计算公式:ObsqFOaF3I.png中,其中n的含义是( )。

A.每拌制一份料的质量

B.时间利用系数

C.每小时拌制的份数

D.设备功率

正确答案: C

登录查看解析 进入题库练习

答案解析: 式中G7O3aEV4QmN.png--每拌制一份料的重量(kg);
n-每小时拌制的份数;
KBZZxx42h2u.png--时间利用系数,KBZZxx42h2u.png=0.8~0.9。
BXu2ypgBpy.png
toZiyhUOavP.png--搅拌器加料时间(min);
tBus6tMIjRp.png--混合料搅拌时间(min);
t3JJdd02gwC.png--成品料卸料时间(min)。

你可能感兴趣的试题

  • 关于特大桥、隧道、拌合站和预制场等进出便道200m范围宜采用的路面的说法,正确的是()。
    查看试题
  • 专家论证的内容不包括()。
    查看试题
  • 路基整形工程,宜选择的机械设备有()。
    查看试题
  • 沥青混合料拌合站宜使用()作为加热燃料。
    查看试题
  • 关于公路工程节能减排施工组织的说法错误的是()。
    查看试题
  • 仪器设备应实施标识管理,分为()和使用状态标识。
    查看试题

在线刷题

题库APP

题库小程序